页面
配色
辅助线
重置

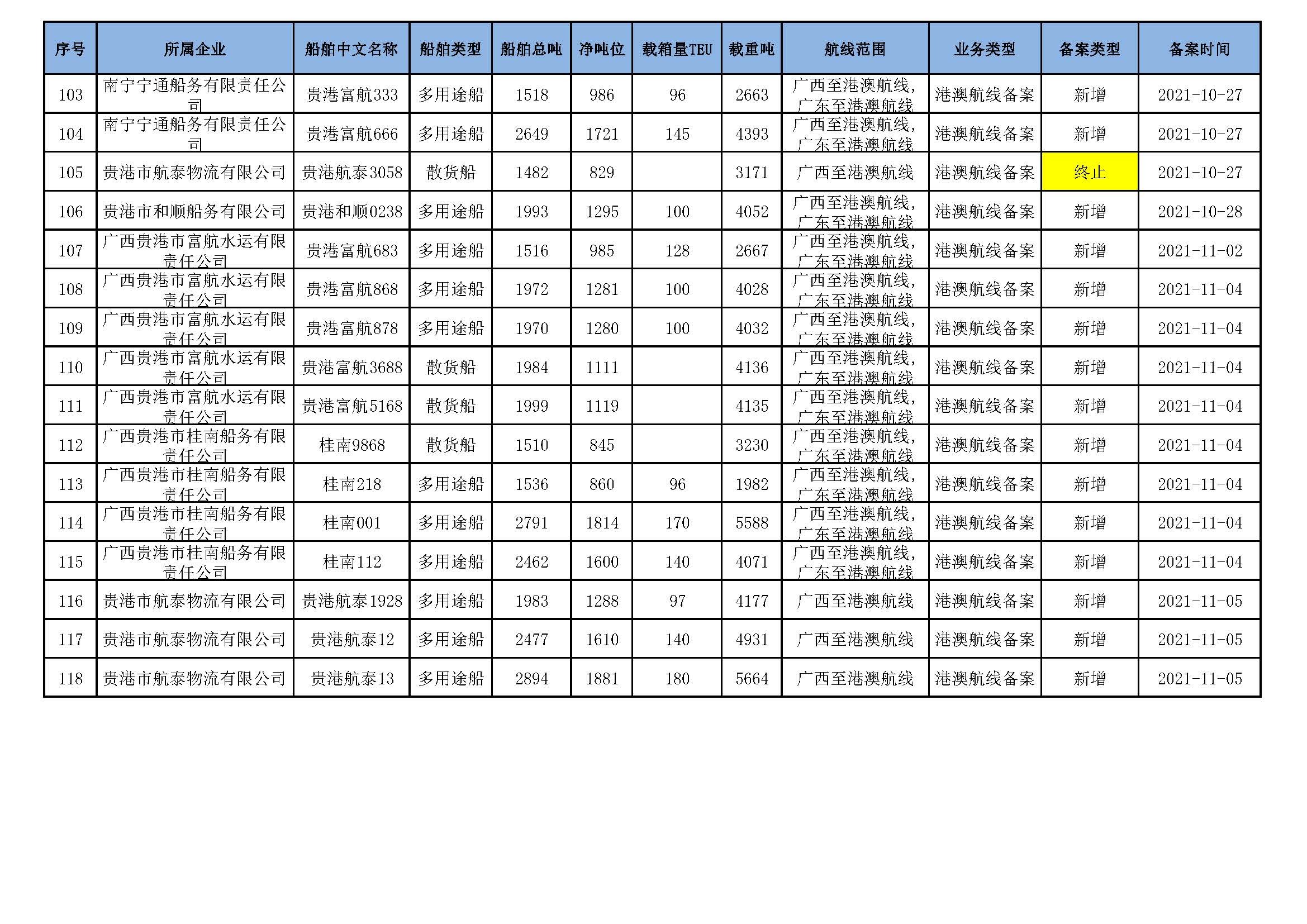
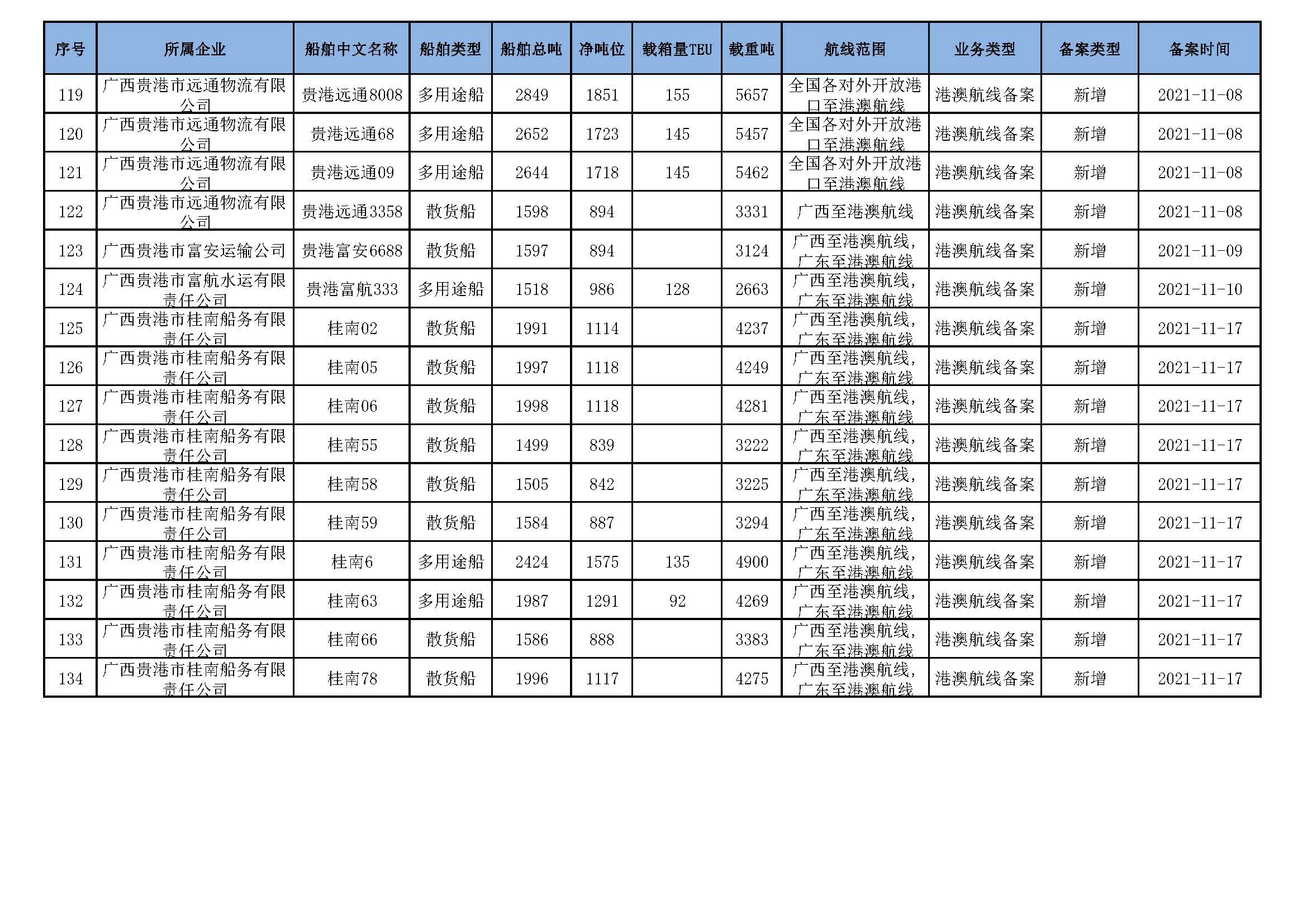
截至2026年4月12日在交通运输部水路运输建设综合管理信息系统完成备案的港澳航线水路运输船舶

2026-04-13 11:36     来源:广西壮族自治区交通运输厅
收藏 我要收藏 公共资源调用站点 文章分享
分享 微信
头条
微博 空间 qq
【字体: 打印


关联文件: